Naive Bayes(NB)
0x01 NB
朴素:整个形式化的过程只做最原始、最简单的假设
优点
- 数据较少情况下仍然有效
- 可以处理多类别问题
缺点
- 对于输入数据的处理方式比较敏感
适用数据类型
- 标称型
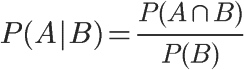
0x02 贝叶斯决策理论
计算数据点属于每个类别的概率,并进行比较,选择具有最高概率的决策
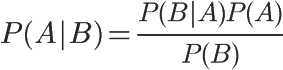
条件概率
推导过程





0x03 构建文档分类器
两个假设
- 特征之间相互独立(统计意义上的独立)
- 每个特征同等重要
word2vec
1 | def loadDataSet(): |
训练算法
- 从词向量计算概率
1 | for postdoc in postingList: |

通过setOfWords2Vec方法对文档进行处理,返回文档向量
1 | def trainNB0(trainMatrix,trainCategory): |

概率向量:在给定文档类别条件下词汇表中单词的出现概率p0Vect:正常文档的概率向量p1Vect:侮辱性文档概率向量pAbusive:侮辱文档的概率
- 概率值为0问题
利用贝叶斯分类器对文档进行分类时,要计算多个概率的乘积以获得文档属于某个类别的概率,即计算p(w0|1)p(w1|1)p(w2|1)。如果其中一个概率值为0,那么最后的乘积也为0。为降低 这种影响,可以将所有词的出现数初始化为1,并将分母初始化为2
1 | p0Denom = 2.0 |
- 下溢出问题
相乘许多很小的数,最后四舍五入后会得到0
p(w0|ci)*p(w1|ci)*...*p(w0|ci) 取对数,得到ln(p(w0|ci))+ln(p(w1|ci))+...+ln(p(w0|ci))
1 | p1Vect = log(p1Num/p1Denom) |
测试算法


的含义为给定w向量的基础上来自类别ci的概率是多少
p(ci)的概率为pAbusive
接下来需要计算p(w|ci),假设所有词都互相独立,即p(w0,w1,w2..wN|ci)=p(w0|ci)p(w1|ci)p(w2|ci)...p(wN|ci)
因为P(w)P(ci)两者是一样的,可以忽略
因为log(p(w|c)p(c)) = log(p(w|c)) + log(p(c)),所以在classifyNB方法中求和
1 | def classifyNB(vec2Classify, p0Vec, p1Vec, pClass1): |
便利函数
1 | def testingNB(): |

- 词袋模型
在词袋中,每个单词可以出现 多次,而在词集中,每个词只能出现一次
每当遇到一个单词时,词向量中的对应值会+1
1 | def bagOfWords2VecMN(vocabList, inputSet): |
0x04 Action 1
垃圾邮件判断
1 | def textParse(bigString): |
- Post title:Naive Bayes(NB)
- Post author:langu_xyz
- Create time:2019-07-28 21:00:00
- Post link:https://blog.langu.xyz/Naive Bayes(NB)/
- Copyright Notice:All articles in this blog are licensed under BY-NC-SA unless stating additionally.